外接球球心的秘密
摘要:在确定空间几何体外接球球心的位置时,其一般途径是从平面图形的外接圆拓展到空间几何体的外接球。特别要注意结合特殊几何体的结构特征来灵活确定外接球球心的位置,比如长方体、直棱柱、棱锥等。从一些规则或不规则的图形中梳理有规则的求解思路,形成有法可依、有规可循的方法体系。
关键词:外接球,球心,长方体,直棱柱,棱锥

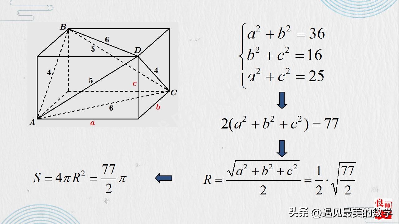
在求解外接球问题时,其关键步骤在于确定球心的位置。与外接球有关的特征与规律就是我们确定外接球球心位置的依据,可以帮助我们透过多面体的重重繁华表象,从本质的角度来形成规则的求解思路。首先,球心到球面上各点的距离都等于半径,因此哪个点到多面体的各个顶点的距离相等,那么这个点就是球心。其次,球心与截面圆圆心的连线垂直于截面(球的截面圆性质),因此球心必在过截面圆圆心且与截面垂直的直线上。根据这两点,即可形成确定外接球球心的一般方法,又或者利用一些特殊几何体,进而让外接球球心毕露。











































