深入理解对数函数 - log函数的图像和基本性质
很多人对 对数函数有着畏难心理,本文试图从对数函数的定义,基本性质,图形等方面帮助大家对 对数函数有一个大概的了解。
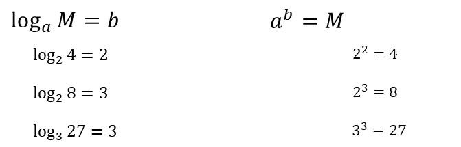
对数函数的定义

对数函数的定义

对数函数 x, y 之间的关系
对数函数的图形特征:

a>1时的函数图像
定义域:x > 0
过定点(1, 0)
单调递增

a<1时的函数图像
定义域:x > 0
过定点(1, 0)
单调递减

a不同时的函数图像
理解对数

特别地,以10为底的对数记为lg:

以10为底的对数
以e为底的对数记为ln:

以e为底的对数
对数的基本性质:

对数的基本性质
对数函数的基本性质1

对数函数的基本性质2

对数函数的基本性质3

对数函数的基本性质4

对数函数的基本性质5

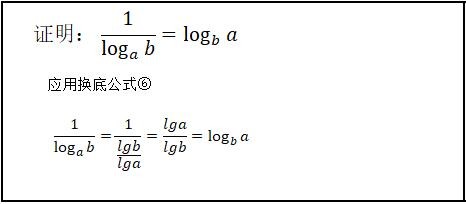
对数函数的基本性质6:换底

对数函数的基本性质7

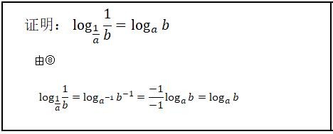
对数函数的基本性质8:去指数

对数函数的基本性质9

对数函数的基本性质10:去分数

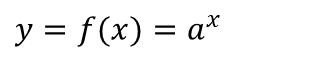
对数函数的反函数
对数函数:

由对数函数的定义,可得:

由反函数的定义,将 x, y 替换,得到其反函数:

对数函数和其反函数的图像:

a>1时

a<1时



















