2024年上海市普通高校招生专科投档分数线公布
日前,2024年上海市普通高校招生专科普通批次平行志愿院校投档分数线与专科艺体类批次院校(类别)投档分数线均已公布。一起来看——
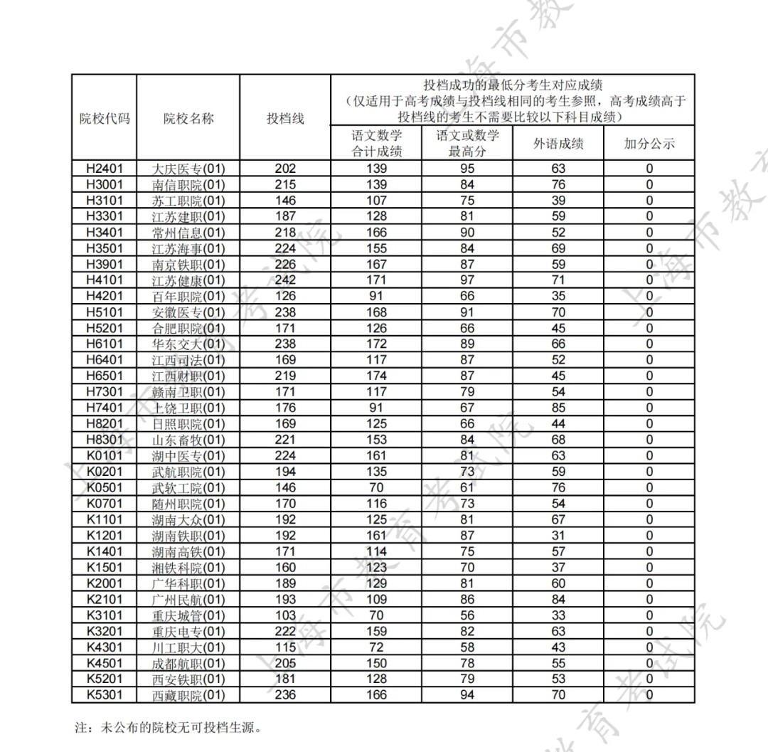
专科普通批次


专科艺体类批次
01 美术与设计类

02 表(导)演类—戏剧影视表演方向

03 播音与主持类

04 音乐类(音乐表演类—声乐方向)

05 音乐类(音乐表演类—器乐方向)

06 舞蹈类

07 体育批次

2024年上海市普通高校招生专科投档分数线公布
日前,2024年上海市普通高校招生专科普通批次平行志愿院校投档分数线与专科艺体类批次院校(类别)投档分数线均已公布。一起来看——
专科普通批次


专科艺体类批次
01 美术与设计类

02 表(导)演类—戏剧影视表演方向

03 播音与主持类

04 音乐类(音乐表演类—声乐方向)

05 音乐类(音乐表演类—器乐方向)

06 舞蹈类

07 体育批次

王者荣耀:沈梦溪原画壁纸大全,棒球奇才,星空之诺,鲨炮海盗
王者荣耀:沈梦溪原画壁纸大全,棒球奇才,星空之诺,鲨炮海盗 王者荣耀-沈梦溪-爆弹怪猫,高清超清原画1080P,无水印,可作壁纸,需要...
2025-10-22 18:03:57
斯嘉丽订婚 未婚夫科林·乔斯特个人资料 [闽南网] 据外媒报道,斯嘉丽·约翰逊与男友Colin Jost订婚了,就此,斯嘉丽的代理人Marcel Pariseau确...
2025-10-22 18:01:42
企业号航空母舰(CVN-80) 企业号航空母舰 (英语: USS Enterprise ,舷号 CVN-80 ),是福特级核动力航空母舰的三号舰。原本尚未决定舰名的CVN...
2025-10-22 17:59:27

江苏省区划调整:句容、仪征划入南京,无锡、常州合并,徐州直辖
2024-09-07 03:33:42

人财两空!张家界新娘事件大结局,男主发文:希望回归正常生活
2025-06-29 22:36:43

别误传了,青岛母子3人坠楼原因未公布,实际情况远比想象的复杂
2024-12-12 02:39:06

业界双馨美女,Dani Daniels、Abella Danger、Maria Ozawa简介照片
2024-09-07 00:58:43

山东省16个地级市的最新面积、户籍人口、常住人口和GDP数据
2025-07-30 05:25:32

江苏ktv女孩遭轮番凌辱!扒衣羞辱,啤酒浇身,现场视频画面曝光!
2025-08-07 10:05:07

投资75亿,全长15公里的重庆大竹林大桥项目,为何至今没有动工?
2025-07-06 12:21:26

推荐作者—岛頔,也是小八老爷,《笼中月》《赠我予白》超经典
2024-12-12 03:00:06

王者荣耀:沈梦溪原画壁纸大全,棒球奇才,星空之诺,鲨炮海盗
2025-10-22 18:03:57